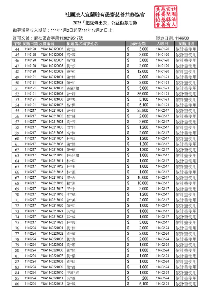
114年捐款芳名錄(1-6月)

返回頂端
回到頂端